Understanding Dividend Meaning is essential for anyone interested in finance or investing. A dividend represents the portion of a company’s profits shared with its shareholders, serving as both a reward and a signal of financial stability. It reflects how a business balances growth, profitability, and investor trust in its long-term strategy.
What is a Dividend?
In the world of finance, the term “dividend” represents a bridge between a company’s success and its shareholders’ rewards. A dividend is the portion of a company’s profit distributed to its shareholders, usually in cash or additional shares. When a company earns profits, it can either reinvest them to fuel growth or distribute part of them to shareholders as dividends.
Dividends are more than just periodic payments—they are signals of financial health and confidence. Investors often see consistent dividend payments as a sign that a company is stable and well-managed. For shareholders, dividends serve as a source of passive income, especially for those relying on steady cash flows, like retirees or long-term investors.
In essence, a dividend reflects how management balances the company’s growth ambitions with its responsibility to reward shareholders. This delicate balance forms the foundation of dividend policy — a key aspect of corporate finance.
Types of Dividends
So now you know the dividends definition, let’s learn about the typesCompanies can distribute dividends in various forms, depending on their financial situation and strategic goals. Here are the main types –
1. Cash Dividend
This is the most common type of dividend, paid directly in cash to shareholders. For example, if a company declares a ₹5 dividend per share, an investor owning 1,000 shares receives ₹5,000. It provides immediate income but reduces the company’s cash reserves.
2. Stock Dividend
Instead of paying cash, the company issues additional shares to shareholders. For example, a 10% stock dividend means a shareholder with 100 shares receives 10 extra shares. This is often used when companies want to conserve cash while still rewarding investors.
3. Property Dividend
Less common, a property dividend involves distributing assets other than cash or stock, such as physical goods or shares of a subsidiary company.
4. Scrip (Promissory Note) Dividend
When a company temporarily lacks cash, it may issue promissory notes promising to pay dividends at a later date. This shows the company’s intention to maintain dividend consistency despite temporary liquidity issues.
5. Liquidating Dividend
Issued when a company is winding up or selling part of its business. It represents a return of capital to shareholders rather than a distribution of profit.
Each type of dividend reflects the company’s financial flexibility, future outlook, and its strategic choice between retention vs distribution of profits.
3. Importance of Dividends in Financial Management
Dividends play a critical role in shaping investor perception and company valuation. A stable or growing dividend signals financial strength, managerial confidence, and long-term profitability. Investors often view dividend-paying companies as safer, more reliable investments.
For financial managers, deciding the optimal dividend policy is complex. Paying too much dividend may restrict funds for expansion, while paying too little might discourage investors. The right balance ensures that the firm maintains sufficient reinvestment for growth while keeping shareholders satisfied.
Dividends also impact the market price of shares. Companies that announce higher dividends often see an increase in stock price due to investor optimism. Thus, dividend policy becomes not just a financial decision, but a strategic communication tool that reflects a company’s confidence in its performance and stability.
4. Theories of Dividend
Over the years, economists and financial theorists have tried to explain how dividends affect a company’s value and shareholders’ wealth. These explanations are collectively known as theories of dividend.
Broadly, these theories can be divided into two categories:
Relevance Theories: These suggest that dividend decisions influence a company’s value. (e.g., Walter’s Model, Gordon’s Model)
Irrelevance Theory: This proposes that dividend policy has no effect on a firm’s value. (e.g., Modigliani and Miller’s Hypothesis)
Let’s explore these major theories in detail.
5. Walter’s Model
Proposed by Prof. James E. Walter, this model suggests that a firm’s dividend policy is relevant and directly affects its market value. According to Walter, the choice between paying dividends and retaining earnings depends on the relationship between the company’s internal rate of return (r) and its cost of capital (k).
The Formula:
Where:
- P = Market price per share
- D = Dividend per share
- E = Earnings per share
- r = Internal rate of return
- k = Cost of capital
Interpretation:
If r > k, the firm should retain earnings for reinvestment because it can generate higher returns than investors expect — meaning low dividends increase firm value.
If r < k, the firm should distribute profits as dividends because reinvested funds yield less than what investors could earn elsewhere.
If r = k, dividend policy becomes irrelevant.
Implications:
Walter’s model emphasizes that the value of the firm depends on how well it can reinvest retained earnings. It encourages firms to analyze whether retaining profits yields better long-term benefits than paying them out as dividends.
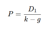
6. Gordon’s Model (Gordon Growth Model)
Developed by Myron Gordon, this model also supports the relevance theory and links dividend policy directly to a firm’s market value. Gordon believed investors prefer current dividends over uncertain future capital gains — a concept known as the “bird in hand” theory.
The Formula:
Where:
P = Price of the share
D₁ = Expected dividend next year
k = Required rate of return
g = Growth rate of dividends
Explanation:
The model suggests that the value of a share depends on future dividends and their expected growth. As dividends increase, the firm’s stock price also rises. Conversely, if growth (g) approaches or exceeds the cost of capital (k), the valuation becomes unstable or unrealistic.
Example:
If a company expects to pay a $5 dividend next year, with a required return of 10% and a growth rate of 4%, then
Key Insight:
Gordon’s model reinforces that stable and growing dividends create investor confidence and higher stock valuation. However, it assumes constant growth and ignores market imperfections.
7. Modigliani and Miller’s Hypothesis (M&M Theory)
In contrast to Walter and Gordon, economists Franco Modigliani and Merton Miller (1961) proposed that dividend policy is irrelevant in determining a firm’s value. According to their hypothesis, under perfect capital market conditions, the value of a firm depends solely on its earning power and investment decisions—not on how earnings are distributed.
Key Assumptions:
No taxes or transaction costs
Perfect capital markets (all investors have equal access to information)
Investors act rationally
Investment policy is fixed and independent of dividend policy
Explanation:
Modigliani and Miller argued that if a company pays dividends, it might need to raise funds by issuing new shares to finance future investments. As a result, the value lost due to dividend payment is offset by the value gained from issuing new shares — leaving overall firm value unchanged.
Conclusion
According to the M&M theory, what truly matters is how effectively the company invests its retained earnings, not whether it pays or withholds dividends. In real life, however, the assumptions of a perfect market rarely hold true, which limits the theory’s practical application.
8. Comparison of Dividend Theories
Over the years, financial experts have debated whether dividends truly matter in determining a firm’s worth. Some theories advocate that paying dividends enhances shareholder value, while others insist it makes no real difference. Let’s compare three major perspectives — Walter, Gordon, and Modigliani–Miller — to understand their unique views on dividend relevance.
| Aspect | Walter’s Model | Gordon’s Model | M&M Hypothesis |
|---|---|---|---|
| Approach | Dividend relevance | Dividend relevance | Dividend irrelevance |
| Key Idea | Retention vs payout affects firm value | Current dividends increase share value | Dividend policy has no impact on firm value |
| Investor Preference | Depends on r and k | Prefers current dividends | Indifferent to dividend policy |
| Assumptions | Constant r and k | Constant growth rate | Perfect capital markets |
| Practical Use | Useful for evaluating growth potential | Widely used for valuation | Theoretical and less practical |
9. Factors Affecting Dividend Policy
In the real world, deciding how much profit to distribute as dividends is one of the most strategic decisions in financial management. A company’s dividend policy is not set randomly — it is influenced by a variety of internal and external factors that determine its ability and willingness to pay dividends. These factors ensure that the company maintains a balance between rewarding shareholders and sustaining long-term growth.
1. Profitability
The most fundamental determinant of dividend policy is a company’s profitability. A business must generate sufficient profits before it can distribute dividends. Firms with stable and high earnings, such as consumer goods and utility companies, often follow a regular dividend policy. In contrast, firms in volatile industries, like technology or startups, may prefer to reinvest profits to fuel innovation rather than paying them out to shareholders.
2. Liquidity
Even if a company is profitable on paper, it needs adequate cash reserves (liquidity) to actually pay dividends. Sometimes, firms have strong profits but their cash is tied up in assets or receivables, making it difficult to pay cash dividends. Hence, companies with limited liquidity often opt for stock dividends or scrip dividends to maintain investor satisfaction without straining cash flow.
3. Tax Considerations
Taxation plays a significant role in shaping dividend policy. In many countries, dividend income is taxed differently than capital gains, influencing investor preferences. For example, when dividend tax rates are higher, investors may prefer companies that reinvest profits for capital appreciation. Conversely, in tax-friendly environments, regular dividends can attract more long-term investors seeking consistent income.
4. Legal Constraints
Companies are bound by legal frameworks that regulate dividend payments. For instance, most jurisdictions prohibit firms from paying dividends out of capital reserves or borrowed funds; dividends can only be distributed from realized profits. Additionally, certain debt covenants or government regulations may restrict dividend payouts to ensure creditors’ safety. Hence, legal compliance is a mandatory checkpoint before declaring dividends.
5. Market Trends and Economic Conditions
Market trends and the overall economic climate also affect dividend policy. During economic booms, companies may increase dividend payouts to reflect growth and investor optimism. However, during recessions or uncertain economic conditions, firms tend to conserve cash to strengthen their balance sheets. Moreover, in industries where dividends are considered a signal of financial strength, such as banking and utilities, maintaining consistent dividends becomes even more critical to sustain investor confidence.
6. Future Investment Needs
Companies with significant growth opportunities often prefer to retain earnings for reinvestment rather than distribute them as dividends. For example, rapidly expanding technology companies like Tesla or Amazon typically reinvest profits into research, product development, and market expansion. On the other hand, mature firms with fewer growth prospects, such as FMCG or energy companies, can afford to pay higher dividends since their reinvestment requirements are limited.
7. Stability and Consistency
Investors generally favor stable and predictable dividend payments, even if they are modest. Frequent fluctuations in dividends may create uncertainty and negatively impact share prices. Therefore, most well-managed companies adopt a stable dividend policy, maintaining a consistent payout ratio or gradually increasing dividends in line with growth. This approach helps build investor trust and a reputation for reliability.
8. Shareholder Preferences
Different groups of shareholders may have varying preferences regarding dividends. Retired or conservative investors often prefer regular cash dividends for income stability, while growth-oriented investors might favor companies that reinvest profits to enhance long-term capital appreciation. Understanding the shareholder base helps companies design a dividend policy that aligns with investor expectations and maximizes satisfaction.
9. Access to Capital Markets
Companies that have easy access to capital markets can raise external funds when needed, allowing them to pay generous dividends without jeopardizing growth projects. In contrast, firms with limited financing options may retain a higher portion of earnings to fund future expansion internally.
10. Inflation and Interest Rates
Macroeconomic variables like inflation and interest rates also affect dividend decisions. During high inflation, the real value of dividends decreases, prompting companies to retain more earnings for asset replacement and cost adjustments. Conversely, when interest rates are low, investors often prefer dividend-paying stocks as a source of steady income.
What is the Dividend ex date Meaning?
The dividend ex-date, also known as the ex-dividend date, is the cutoff date that determines which shareholders are eligible to receive a declared dividend. Investors who purchase a stock on or after the ex-date are not entitled to the upcoming dividend; only those who own the stock before the ex-date will receive it. Typically, the ex-dividend date occurs one business day before the record date, and stock prices often drop slightly on this day to reflect the dividend payout.
Conclusion
A dividend is more than a financial payout — it represents a company’s philosophy toward growth, stability, and shareholder trust. The debate among Walter, Gordon, and Modigliani–Miller highlights a timeless question: Should profits be shared today or reinvested for tomorrow?
While theoretical models offer valuable insights, real-world dividend policies depend on a company’s financial goals, market conditions, and investor expectations. A balanced strategy — one that rewards shareholders yet sustains growth — is the hallmark of wise financial management.
In the end, dividends symbolize the ultimate harmony between a company’s ambition to grow and its commitment to share success with those who believe in it.



